<

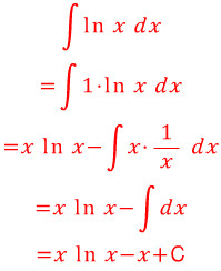
Ln X 1 적분

<
Integral Of Ln X 1 Substitution By Parts Youtube

Integral Of Ln X 1 Substitution By Parts Youtube

Integral Of 1 X 1 Ln X 2 Substitution Youtube

Integral Of 1 X 1 Ln X 2 Substitution Youtube

Integral Of 1 X Ln X 2 Substitution Youtube

Integral Of 1 X Ln X 2 Substitution Youtube

Integral Of X Ln X 1 By Parts Youtube

Integral Of X Ln X 1 By Parts Youtube

이상적분 Ln X 1 X 2 Dx 소셜 수학 Socialmathnet Com

이상적분 Ln X 1 X 2 Dx 소셜 수학 Socialmathnet Com

Integral Of Ln X 1 X 1 Substitution Substitution Youtube

Integral Of Ln X 1 X 1 Substitution Substitution Youtube

Integral Of Ln X 1 X 1 Substitution Substitution Youtube

Integral Of X Ln X 2 1 Substitution By Parts Youtube

Integral Of X Ln X 2 1 Substitution By Parts Youtube

Ln X를 적분하면 네이버 블로그

Ln X를 적분하면 네이버 블로그

Integral Of 1 X Ln X Substitution Youtube

Integral Of 1 X Ln X Substitution Youtube

적분 잡설 Ln X의 N제곱의 적분 네이버 블로그

적분 잡설 Ln X의 N제곱의 적분 네이버 블로그

적분공식 Ln X 를 포함하는 경우

적분공식 Ln X 를 포함하는 경우

Integral Of 1 X X X 2 Ln X Calculus 1 Calculus Email Subject Lines Calculus 2

Integral Of 1 X X X 2 Ln X Calculus 1 Calculus Email Subject Lines Calculus 2

Embracing The Putnam Boi Integral Ln X 1 X 2 1 From 0 To 1 22 7 Bigger Pi Proof Youtube

Embracing The Putnam Boi Integral Ln X 1 X 2 1 From 0 To 1 22 7 Bigger Pi Proof Youtube

Is It Possible To Integrate Math Dfrac 1 Ln X Math Quora

Is It Possible To Integrate Math Dfrac 1 Ln X Math Quora

Integral Of Ln X 2 2x 1 Substitution By Parts Youtube

Integral Of Ln X 2 2x 1 Substitution By Parts Youtube

Solved Obtain Integral 1 1 X 4 Dx Obtain Integral Ln 1 Chegg Com

Solved Obtain Integral 1 1 X 4 Dx Obtain Integral Ln 1 Chegg Com

Integral Of Ln X Sqrt 1 X 2 By Parts Youtube

Integral Of Ln X Sqrt 1 X 2 By Parts Youtube

How Integrate Int Ln 1 Tan X Dx Or Int Ln Sin X Dx Mathematics Stack Exchange

How Integrate Int Ln 1 Tan X Dx Or Int Ln Sin X Dx Mathematics Stack Exchange

Ezformula Net Share Formula And 자료실

Ezformula Net Share Formula And 자료실

적분 잡설 Ln X의 N제곱의 적분 네이버 블로그

적분 잡설 Ln X의 N제곱의 적분 네이버 블로그